Abstract
Recent findings from developmental neuroscience suggest that the adolescent brain is too immature to exert control over impulsive drives, such as sensation seeking, that increase during adolescence. Using a discounting of delayed reward paradigm, this research examines the ability to delay gratification as a potential source of control over risk-taking tendencies that increase during adolescence. In addition, it explores the role of experience resulting from risk taking as well as future time perspective as contributors to the development of this ability. In a nationally representative sample (n=900) of young people aged 14–22, a structural equation analysis shows that risk taking as assessed by use of three popular drugs (tobacco, marijuana, and alcohol) is inversely related to the ability to delay gratification. The relation is robust across gender, age, and different levels of sensation seeking. In addition, high sensation seekers exhibit dramatic age-related increase in delay of gratification, lending support to the hypothesis that engaging in risky behavior provides experience that leads to greater patience for long-term rewards. The findings support the conclusion that a complete understanding of the development of self-control must consider individual differences not easily explained by universal trends in brain maturation.
Introduction
Adolescence is a period characterized by experimentation with novel but risky behaviors such as use of alcohol, tobacco and other drugs. Recent findings from developmental neuroscience shed light on why such risky behaviors increase during adolescence rather than during child or adulthood. In particular, increased dopamine release to subcortical reward centers during adolescence encourages attraction to novel and immediately exciting experiences (Chambers et al. 2003; Spear 2000). Indeed, the dopamine system, which is eminently sensitive to detecting novel rewards (Schultz 2002; Spanagel and Weiss 1999), motivates search for such experience (Panksepp 1998). In humans, variation in dopamine activity has been linked to a personality trait known as sensation or novelty seeking (Zald et al. 2008; Zuckerman 1994). Sensation seeking rises during adolescence before declining again in early adulthood (Romer and Hennessy 2007; Steinberg et al. 2009; Zuckerman 1994). Furthermore, sensation seeking is strongly associated with the initiation of a wide range of adolescent risk behaviors, such as use of drugs (Roberti 2004; Zuckerman 1994).
An important question regarding adolescent risk taking is whether adolescents have the capability to control such drives. One hypothesis based on developmental neuroscience is that brain maturation of the frontal cortex is not complete until the third decade of life (Casey et al. 2008; Steinberg 2008). As a result, adolescents do not have sufficient frontal control to inhibit impulsive drives such as sensation seeking. This hypothesis has the strong implication that for youth with high levels of impulsivity, such as sensation seeking, there is little one can do to prevent the rise in adolescent risk taking other than to enforce abstinence from such behaviors until the brain has achieved sufficient maturation to enable control over the behaviors (Nelson et al. 2002; Steinberg 2008).
Another hypothesis regarding adolescent development is that control over risk taking can be learned and that the major deficit is not insufficient brain maturation but lack of experience from engaging in novel and potentially risky behavior. For example, the first 6 months of driving during the adolescent years is the riskiest period (McCartt et al. 2003). If adolescents could learn to drive under conditions of reduced risk, their exposure to crashes would be greatly reduced. This is precisely the strategy behind graduated drivers licensing programs that permit driving but that also impose restrictions on this behavior until the young driver has had sufficient experience to handle risky driving conditions, such as driving at night or with peers (Morrissey et al. 2006).
In this research, we examine whether one potential inhibitory control mechanism, namely delay of gratification, can restrain impulsive drives, such as sensation seeking, and whether risk taking can provide experience that increases self control. In particular, we ask whether variation in this form of self-control is sufficiently strong to inhibit risk taking, even among adolescents and young adults with high levels of sensation seeking. In addition, we ask whether experience with risky behavior can lead to increases in this form of self-control as the experience hypothesis would predict. Support for these predictions would suggest that the brain maturation hypothesis overstates the potential for immature brain structure to prevent adolescents from controlling their risk taking.
Exerting Control over Impulsive Drives
Various theories have been proposed regarding the mechanisms underlying the ability to exert control over impulsive drives. We focus on one potential mechanism that exhibits maturation from child to adulthood, the ability to delay gratification (Green et al. 1994; Steinberg et al. 2009). The most common paradigm for studying this type of control is to present choices between small rewards that are immediately available versus ones that are larger but not available until after a delay (Ainslie 1975; Mischel et al. 1989). The universal finding is that people prefer immediate rewards even when the delayed rewards are considerably larger; however, the degree to which delayed rewards are discounted varies across individuals (Green and Myerson 2004; Rachlin 2000). In adolescents as well as adults, individual differences in discounting have been linked to risk-taking tendencies, such as drug use (Reynolds 2006; Verdejo-Garcia et al. 2008). Mischel and colleagues (1988, 1989) studied related measures of the ability to delay gratification in children as young as age 3 and found that this tendency predicted various forms of self-control in adolescence. However, these studies have used small unrepresentative samples, and none have examined the relation between delay of gratification and risk taking across a wide adolescent age range when sensation seeking reaches its peak.
The hypothesis we pursued in this research is that the ability to delay gratification can serve as a check on such drives as sensation seeking. There is some evidence to support this hypothesis. The tendency to persevere toward long-term goals is independent of sensation seeking (Smith et al. 2007; Whiteside and Lynam 2001), as is the tendency to discount future rewards (Wilson and Daly 2006). Furthermore, evidence from both animal models (Pattij and Vanderschuren 2008) and humans (Reynolds et al. 2008) suggests that individual differences in discounting are independent of other impulsive tendencies. However, it has not been shown that the ability to delay gratification influences adolescent risk taking independently of sensation seeking and that it can do so even when the sensation seeking drive is strong. If delay of gratification only reduces risk taking when sensation seeking is moderate or weak, then it is unlikely to serve as a check on impulsive behavior.
In addition to examining the independent effects of sensation seeking and delay of gratification on risk taking, we also studied factors that can promote the development of patience for long-term rewards during adolescence. According to the brain maturation hypothesis, experience should not be a major factor in the development of the ability to delay gratification. There is some evidence to support this prediction. The tendency to discount delayed rewards does not decline dramatically during adolescence (Steinberg et al. 2009), suggesting that brain maturation may be required to permit this ability to emerge in greater force. However, the experience hypothesis suggests that individual differences in opportunities to learn how to control impulsive behavior could predict increases in the ability to delay gratification.
A mechanism that could serve to increase the ability to delay gratification is the experience of regrettable consequences stemming from risk taking itself. That is, youth who engage in high levels of typical adolescent risk taking should also be more likely to discover the adverse consequences of doing so (e.g., doing poorly on exams as a result of partying with friends rather than studying). As a result, as they age, such risk takers should gain greater appreciation for the long-term consequences of their risky actions. An interesting prediction from this hypothesis is that high sensation seekers should exhibit greater increases in the ability to delay gratification than low sensation seekers who engage in much less risky activity. Hence, we predict that whereas sensation seeking encourages risk taking, it should also paradoxically accelerate the ability to delay gratification.
A second process potentially responsible for change in both delay of gratification and risk taking is the development of future time perspective, defined as the tendency to think about or attend to the future as opposed to the present or past (Nurmi 1991). Zimbardo and Boyd (1999) trace the concept to Lewin's (1939) life-space model of development, in which adolescence was regarded as the period when future time perspective increases in response to the need to plan for the transition to adulthood. One theoretically predicted outcome of increased concern about the future is reduced discounting of future rewards (Bembenutty and Karabenick 2004; Joireman et al. 2005; Steinberg et al. 2009). Future time perspective has also been linked to adolescent risk taking (Boyd et al. 1999; Fong and Hall 2003). As a result, individual differences in the development of future time perspective might reduce discounting and risk taking. Based on this reasoning, we would expect any relation between delay of gratification and risk taking to be reduced once future time perspective is controlled for its influence on both. In addition, individual differences in future time perspective may be important for developing self-control apart from any relation to sensation seeking.
Testing Hypotheses About Risk Taking and Delay of Gratification
In this research, we examined sensation seeking, delay of gratification, future time perspective, and drug use in a nationally representative sample of youth ages 14–22. We defined a structural equation model shown iln Fig. 1 that treats sensation seeking and future time perspective as exogenous but potentially related predictors of delay of gratification. The model includes the use of three popular drugs, tobacco, marijuana, and alcohol, as consequences of both sensation seeking and delay of gratification. Adolescents exhibit increasing use of these drugs as they age (Johnston et al. 2008), with sensation seeking positively related to all three (Romer and Hennessy 2007). We treat the use of these three drugs as evidence of an underlying risk-taking tendency that should increase during adolescence. However, we expected that individual differences in the ability to delay gratification would be inversely related to risk-taking tendencies (Hypothesis 1). We expected this prediction to hold for both male and female youth. In addition, and contrary to the brain maturation hypothesis, we expected the inverse relation between delay of gratification and risk taking to hold for youth in both adolescence (ages 14–17) and young adulthood (ages 18–22) (Hypothesis 2). Furthermore, we expected individual differences in future time perspective to be positively related to the ability to delay gratification but not to directly influence risk taking apart from delay of gratification (Hypothesis 3).

Fig. 1
Structural equation model for relations between sensation seeking, time perspective, delay of gratification, and drug use. Gender, income, and racial-ethnic identity paths are not shown
We further tested the robustness of the inverse relation between delay of gratification and risk taking by examining it within different levels of sensation seeking. If the ability to delay gratification truly serves as a mechanism of self-control, then it should restrain risk-taking tendencies for high sensation seekers as well as for those lower in sensation seeking (Hypothesis 4). Finally, according to the risk-taking experience hypothesis, high sensation seekers should have the greatest exposure to adverse experience from risk taking and should exhibit the largest increases in the ability to delay gratification as they age (Hypothesis 5). To test this hypothesis, we examined age-related trends in delay of gratification in high versus moderate and low sensation seekers.
Method
Sample Description and Methodology
The National Annenberg Survey of Youth is a national probability sample conducted annually by the Adolescent Communication Institute at the University of Pennsylvania (see Romer and Hennessy 2007, for details of the procedure). Data for this study (N=900) were taken from the 2005 survey conducted between April and August of that year. The Institutional Review Board of the University of Pennsylvania approved the survey.
Measures
Delay of Gratification
We adapted a monetary choice procedure from Green et al. (1994) to assess preference for delayed reward. Similar monetary choice procedures have been shown to be valid with youth of this age group (Duckworth and Seligman 2005; Reynolds 2004) and to be a valid indicator of the ability to delay gratification (Reynolds and Schiffbauer 2005). Different rates of discounting can be detected by determining the amount of money that one would accept immediately in lieu of a larger but delayed reward. In this task, respondents are asked in the context of payment for a job to identify an amount of money between $100 and $900 that, if received immediately, would be equivalent to receiving $1,000 6 months later. Respondents are initially asked if they would accept a payment of $1,000 in 6 months in lieu of being paid $500 immediately. Those who accept the $500 are asked if they would accept an amount lower than $500 in $100 decrements. The lowest amount they accept is taken as their equivalent value. A comparable procedure with successively increasing values is used for those who would not accept $500. Research comparing hypothetical with real rewards and delays indicates that the procedure produces comparable estimates of individual differences (Johnson and Bickel 2002).
Future Time Perspective
We assessed the tendency to take a long-term perspective in everyday decision making with three items from the Time Perspective Questionnaire (Fong and Hall 2003) (labeled as items 1–3 in Table 1). Respondents rated their agreement on a 4-point scale from 4 = strongly agree to 1 = strongly disagree with two reversed score items: “Living for the moment is more important than planning for the future,” and “I spend a lot more time thinking about today than thinking about the future,” and a third item that was positively scored, “I have a good sense of my long-term priorities in life.” Although the full scale has a reported alpha larger than .80, these three items had an observed correlation of .62 with their underlying future time perspective factor using a reliability calculation that takes into account differential loadings of items (Raykov 1997).
Table 1
Summary statistics and bivariate correlations for Sensation Seeking (SS), Time Perspective (TP), Delay of Gratification, and Drug Use
Variable | M | SD | 2 | 3 | 4 | 5 | 6 | 7 | 8 | 9 | 10 | 11 |
1. SS 1 | 3.01 | 0.98 | .269 | .329 | .256 | −.062 | −.082 | .043 | .011 | .129 | .145 | .171 |
2. SS 2 | 2.16 | 1.04 | – | .342 | .292 | −.162 | −.175 | −.103 | −.020 | .154 | .153 | .165 |
3. SS 3 | 2.43 | 1.00 | – | .291 | −.112 | −.261 | −084 | −.069 | .150 | .231 | .339 | |
4. SS4 | 2.90 | 0.90 | – | −.092 | −.182 | .000 | −.012 | .109 | .083 | .108 | ||
5. TP 1 | 2.43 | 0.99 | – | .335 | .150 | .090 | −.043 | −.012 | −.028 | |||
6. TP 2 | 2.28 | 1.01 | – | .142 | .176 | −.042 | −.051 | −.109 | ||||
7. TP 3 | 3.41 | 0.78 | – | .079 | −.060 | −.038 | −.036 | |||||
8. Delay of Gratification | 7.07 | 2.48 | – | −.096 | −.035 | −.047 | ||||||
9. Tobacco Use | 0.95 | 1.46 | – | .497 | .408 | |||||||
10. Marijuana Use | 0.54 | 1.12 | – | .433 | ||||||||
11. Binge Drinking | 1.23 | 1.08 | – |
N's=888–900 for all variables. Correlations in bold are p≤.05 while those in italics are p<.01
Sensation Seeking
Participants were asked to rate their agreement with four statements from the Brief Sensation Seeking Scale (BSSS; Donohew et al. 2002) on a 4-point scale from 4 = strongly agree to 1 = strongly disagree. The items also labeled as 1–4 in Table 1 were: “I like to explore strange places,” “I like to do frightening things,” “I like new and exciting experiences, even if I have to break the rules,” and “I prefer friends who are exciting and unpredictable.” These items represent the four dimensions of sensation seeking identified by Zuckerman (1994), and the scale correlates highly (r=0.89) with the BSSS. The scale was also a reliable indicator (r=.60) of its underlying factor in the present sample.
Risk Taking
Cigarette smoking, marijuana use, and binge drinking were separately assessed as indicators for risk-taking tendencies. For cigarette and marijuana use, answers were scored on a scale from 0 to 5 where 0 meant that respondents reported never having engaged in the behavior, 1 meant they had done so but not in the past month, and higher values indicated increasing levels of engagement in the behavior during the past 30 days. The scale for binge drinking was 0–3, where 0 meant never having drunk alcohol, 1 meant having drunk but not in the last 30 days, 2 meant having drunk in the last 30 days but no binging, and 3 meant binge drinking in the last 30 days. The three drug uses were also reflective of an underlying risk-taking tendency (r=.84).
Demographic Variables
Because the sample closely matched U. S. Census (2001) estimates for major demographic differences (gender, race, and Hispanic ethnicity), weights were not applied in any analysis. However, controls for demographic variables were included in all analyses. Because we expected age to exhibit an inverted-U relationship with sensation seeking, we subtracted the mean age of the sample (17.75) from each individual age and squared this difference to capture this effect. Participants also provided their zip code, which we used in conjunction with Census (2001) data to estimate neighborhood median household income. We would expect income to be positively related to our measure of delay of gratification since this form of self-control has been found to be weaker in poorer youth (Evans and Rosenbaum 2008) as well as in adults (Green et al. 2008). In addition, gender should be related to sensation seeking with males scoring higher (Zuckerman 1994). Furthermore, both Hispanic and black youth are likely to exhibit less use of drugs (Wallace et al. 2003). Controlling for these variables helps to rule out spurious relationships that might result from effects of these background characteristics.
Statistical Analysis
For the purposes of descriptive analyses, Pearson correlations were calculated with listwise deletion for missing data. To create predicted scores for age trends in sensation seeking, future time perspective, and delay of gratification, we use ordinary least squares regression. To analyze relations between our predictors and drug use, we used structural equation modeling (SEM) as implemented in the program EQS (Bentler 2004). We used multiple group analyses to analyze differences between gender and age in the relations between sensation seeking, future time perspective, delay of gratification, and risk taking (Hypotheses 1–3). We also used this procedure to analyze differences in the relation between delay of gratification and risk taking by different levels of sensation seeking (Hypothesis 4) and to examine age trends in delay of gratification (Hypothesis 5). This program estimates robust standard errors that correct for potential violations in assumptions of multivariate normality, and it permits maximum likelihood imputation of missing data. We could not estimate neighborhood household income for 7% of respondents who did not report their zipcode, and small numbers of respondents did not answer some questions regarding drug use (less than 1.5% of the sample). Although occurrences of missing data were largely unrelated to gender or racial-ethnic identity, cases missing any data at all were slightly related to male gender (r=.069) and Hispanic ethnicity (r=.098). However, our imputation of missing data using maximum likelihood permitted us to retain these cases and to maximize the sensitivity of our analysis (Allison 2001).
To evaluate goodness of fit, we looked at three overall measures. First, a chi-square test (χ2) was used to compare the predicted covariance matrix with the observed matrix. We used the Satorra and Bentler (1994) scaled χ2 which is provided for models with robust estimates (Bentler 2004). Because χ2 tests are very sensitive to sample size, we used two additional indices: the Comparative Fit Index (CFI) and Root Mean Square Error of Approximation (RMSEA). Values of CFI greater than .90 (Hu and Bentler 1995) and RMSEA values less than or equal to .05 are considered acceptable (Kaplan 2000). Tests to determine differences in model parameters across subgroups were also conducted using χ2 difference tests.
Results
Table 1 contains correlations between the major variables in the analysis. As expected, the four sensation seeking items were positively intercorrelated but inversely related to the future time perspective items which were also positively related to each other. Sensation seeking items were not very related to delay of gratification; however, they were strongly related to use of each drug. Drug uses, which were highly intercorrelated, tended to be negatively related to time perspective and delay of gratification. Delay of gratification tended to be positively related to time perspective items.
Structural Equation Analysis
Measurement Model
We first conducted an analysis to confirm the reliability and discriminant validity of our measures of sensation seeking, future time perspective, delay of gratification, and drug use. The factor loadings for each construct were significant (p<.001), and the overall model allowing for correlations between each factor provided a good fit to the data, χ2(37)=77.8, p<.001, CFI=.96, RMSEA=.035 (90% confidence interval=.024, .046). The drug use indicators also contained correlations between two pairs of measures, tobacco and marijuana use and marijuana and binge drinking, which represented relations unique to each pair of drugs. It is also noteworthy that the correlation between sensation seeking and delay of gratification was not significantly different from zero, r=.06, a finding that corroborates other research with smaller and less representative samples (e.g., Wilson and Daly 2006).
We rejected an alternative model that assumes that sensation seeking, future time perspective, and delay of gratification reflect a single factor that is correlated with risk taking, χ2(41)= 186.1, p<.001, CFI=.87, RMSEA=.063 (.054, .072). This finding is consistent with our hypothesis that delay of gratification represents an independent source of control over risk taking. We examined this hypothesis in greater detail in our next analysis.
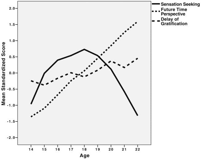
Figure 2 shows the relations between age and each of our measures of individual differences hypothesized to be related to risk taking. Whereas sensation seeking grew and then declined during the age range under study, future time perspective grew steadily while delay of gratification displayed a positive age trend that was nevertheless not significant in the sample as a whole. The inverted-U shaped relation between age and sensation seeking is consistent with earlier research in this age range (Romer and Hennessy 2007), and the small increase in delay of gratification is consistent with a recent study by Steinberg et al. (2009). The increase in future time perspective during this age period is also consistent with Steinberg et al.'s (2009) findings and is consistent with expected developmental change during adolescence (Lewin 1939; Nurmi 1991).

Fig. 2
Developmental trajectories of predicted standardized scores for sensation seeking, future time perspective, and delay of gratification holding constant demographic differences
Relations Between Factors
Our second analysis focused on the model in Fig. 1. In fitting this model, some unique correlations were identified. In particular, as youth aged, they were more likely to agree with two of the sensation seeking items and one of the future time perspective items. In addition, there was a residual negative relation between income and smoking. Since these relations would not affect tests of any hypotheses, they were added to the model. As seen in Table 2, the resulting model provided a good fit to the data for the total sample. Consistent with Hypothesis 1, delay of gratification was inversely related to risk taking (B=−.072, p=.040), and this relation was independent of the strong relations of risk taking with age and sensation seeking. Similar patterns were observed in the models for male (B=−.108, p<.001) and female youth (B=−.044, p=.043). A test of the equality of these parameters indicated that they were not statistically different, χ2(1)=1.31, p>.15.
Table 2
Standardized coefficients and goodness of fit indices in models of drug use (bolded coefficients are significant, p<.05)
Paths to | Model | ||||
Total | Male | Female | Ages 14–17 | Ages 18–22 | |
Delay of gratification | |||||
Sensation seeking | .041 | .108 | .007 | .021 | .067 |
Time perspective | .243 | .310 | .202 | .319 | .169 |
Age | .015 | −.009 | .042 | .024 | .019 |
Male gender | −.052 | – | – | −.028 | −.079 |
Neighborhood income | .100 | .097 | .107 | .057 | .130 |
Black identity | −.027 | −.003 | −.037 | .021 | −.066 |
Hispanic identity | −.057 | −.103 | .000 | −.018 | −.093 |
Risk taking | |||||
Delay of gratification | −.072 | −.108 | −.044 | −.063 | −.102 |
Sensation seeking | .463 | .430 | .505 | .505 | .576 |
Age linear | .562 | .533 | .599 | .348 | .183 |
Age quadratic | −.038 | −.013 | −.062 | – | – |
Male gender | .056 | – | – | .135 | .007 |
Black identity | −.145 | −.125 | −.161 | −.114 | −.199 |
Hispanic identity | −.016 | .036 | −.062 | −.010 | −.012 |
R 2
risk taking | .569 | .509 | .653 | .431 | .409 |
CFI | .915 | .980 | .958 | ||
RMSEA (90% CI) | .040 (.033, .046) | .020 (.000, .030) | .026 (.015, .036) |
We also examined the relations between delay of gratification and risk taking for younger (ages 14–17) versus older (ages 18–22) youth. As seen in Table 2, the relations were significant in both age groups: B=−.063, p=.010 (younger) and B=−.102, p=.016 (older). A test of the difference between the parameters indicated that they were not statistically different, χ2(1)=0.91, p>.15. These findings support the hypothesis that delay of gratification is able to constrain risk taking even in younger adolescents and that deficits in structural brain maturation over this age range or between male and female youth are unlikely to be a major contributor to this source of self-control.
Our third hypothesis predicted that individual differences in future time perspective would lead to differences in delay of gratification. As seen Table 2, future time perspective was consistently and positively related to delay of gratification across age and gender. As the age trends in Fig. 2 suggest, the relation between age and future time perspective was too weak (.09) to produce much of an increase in delay of gratification with age. However, we tested a model in which future time perspective was also allowed to influence drug use. In support of Hypothesis 3, this path was not significant, B=−.04, p>.15. In addition, we tested a model in which delay of gratification served as the mediator between sensation seeking and future time perspective with the latter influencing drug use. However, future time perspective was not related to drug use in this model either, B=.02, p>.15. These tests indicate that the data are more consistent with a model in which time perspective influences delay of gratification rather than the other way around and that time perspective adds nothing to the prediction of drug use apart from sensation seeking and delay of gratification.
We also found a significant relationship between neighborhood income and delay of gratification in all analyses. This finding is consistent with the expectation that wealthier youth would be more willing to delay gratification (for similar findings, see also Evans and Rosenbaum 2008, with younger youth and Green et al. 2008, with adults). In addition, both black and Hispanic youth were less likely delay gratification in the older age group. Finally, as expected, black youth reported less drug use, but only female Hispanic youth reported less drug use than whites.
Effects of Delay of Gratification by Different Levels of Sensation Seeking
To test Hypotheses 4 and 5 regarding the relations between delay of gratification, age, and risk taking across different levels of sensation seeking, we trichotomized the sample into three levels of sensation seeking: low (n=290), moderate (n=275), and high (n=333). We then examined model relations for each of these groups. The resulting overall model provided an adequate fit to the data, χ2(42)= 64.1, p=.016, CFI=.97, RMSEA=.042 (.019, .062). Table 3 contains the coefficients that were obtained from this analysis. In each group, age was strongly related to drug use indicating that no matter the level of sensation seeking, drug use increased with age. Nevertheless, in the highest level of sensation seeking, there was also a curvilinear relation with age, indicating that drug use tapered off as high sensation seeking youth aged.
Table 3
Standardized coefficients (z ratios) in SEM for three levels of sensation seeking (Low, Medium, and High) and proportion of variation (R2) explained for each outcome
Predictor | Low sensation seeking | Medium sensation seeking | High sensation seeking | |||
Delay of gratification | Drug use | Delay of gratification | Drug use | Delay of gratification | Drug use | |
Age | −.040 (−0.66) | .557 (6.54) | .013 (0.22) | .532 (5.43) | 0.127 (2.32) | .718 (7.59) |
Age squared | .068 (1.03) | .038 (0.65) | −.150 (−2.60) | |||
Income | 0.185 (3.58) | .129 (2.48) | .023 (0.44) | |||
Black identity | −.003 (−0.05) | −.193 (−3.53) | −.014 (−0.22) | −.156 (3.20) | −.054 (−1.09) | −.206 (−3.34) |
Hispanic identity | −.053 (−0.82) | −.089 (−1.44) | −.150 (−2.27) | .018 (0.28) | −.053 (−0.89) | −.002 (−0.04) |
Delay of gratification | −.138 ( − 2.03) | −.073 (−1.19) | −. 217 ( − 3.17) | |||
R 2 | .042 | .390 | .045 | .310 | .024 | .538 |
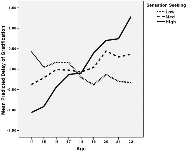
Coefficients in bold are significant, p<.05As expected, the path from delay of gratification to drug use did not decline as sensation seeking increased (Hypothesis 4). Indeed, the relation was somewhat higher in the high sensation seeking than the low sensation seeking group (−.217 vs. −.138). Nevertheless, a model in which all three coefficients were set equal fit just as well as the model in which they were allowed to vary, χ2(2)=2.58, p>.15.Hypothesis 5 predicted that high sensation seekers would display the strongest increase in delay of gratification with age. The prediction was confirmed. The relation between age and delay of gratification was only significant in the high sensation seeking group (B=.127), indicating that high sensation seekers exhibited greater patience for future rewards as they aged. Furthermore, restricting this path to be equal to the path in the low sensation seeking group produced a worse fit to the data, χ2(1)=4.70, p=.04. A graphic display of the interaction between age and sensation seeking is in Fig. 3. Delay of gratification increased with age most strongly in the high sensation-seeking group. Indeed, the trend is such that high sensation-seeking youth eventually display greater delay of gratification than low and medium sensation-seeking youth.

Fig. 3
Delay of gratification (standardized) as a function of age and sensation seeking. Predicted scores for delay of gratification are conditioned on gender, age, ethnic-racial identity, and neighborhood household income.
Discussion
Our findings from a large nationally representative sample of adolescents and young adults indicated that male and female youth who delayed gratification were more likely to inhibit their risk taking as assessed by use of three popular drugs. Furthermore, they were able to do so at both younger and older ages within this sample with no evidence of dramatic differences by age. In addition, delay of gratification was just as strongly related to risk taking among high sensation seekers as among low sensation seekers. These findings indicate that the ability to delay gratification is an important source of self-control. Furthermore, this control is evident despite the incomplete maturation of the prefrontal cortex that characterizes the age range of the sample, a factor that has been suggested as an important cause of adolescent risk taking (Casey et al. 2008; Nelson et al. 2002; Steinberg 2008).
In contrast to the immature brain hypothesis, we proposed that experience with risky activity should lead to greater appreciation of the risks involved and over time should lead to greater ability to delay gratification. In support of this hypothesis, we found that youth who were high in sensation seeking were more likely to exhibit age-related increases in delay of gratification. This result is understandable given the neurobiological basis of the sensation seeking drive. Motivated by the dopamine reward system, sensation seeking encourages exploration of the environment and of novel and exciting stimuli of all kinds (Panksepp 1998). Experimentation with drugs, such as tobacco, alcohol, and marijuana, is a common form of such exploration among adolescents (Shedler and Block 1990), and use of these substances further stimulates the release of dopamine (Chambers et al. 2003). However, excessive use of these drugs, such as binge drinking and smoking, can lead to adverse consequences that can teach an important lesson about the disadvantages of sacrificing longer-term benefits for the sake of short-term excitement. The increase in the tendency to delay gratification observed among high sensation seekers is consistent with this prediction.
The hypothesis that individual differences in future time perspective would be related to delay of gratification was also supported. This hypothesis is consistent with the argument that adolescents who are practiced at conceptualizing the future are more likely to also appreciate the long-term consequences of their actions. However, future time perspective was not directly related to risk taking apart from its relation with delay of gratification. This finding supports the role of delay of gratification as the more proximal source of control over risk taking. The finding that age was related to increases in future time perspective suggests that brain maturation may play a role in this process. However, this role is rather small in comparison to the large individual differences in future time perspective that are independent of age. Indeed, we found only weak evidence of developmental change in delay of gratification in the sample as a whole (see Fig. 2), a result consistent with a recent study by Steinberg et al. (2009).
The finding that delay of gratification is largely independent of sensation seeking is consistent with research in both animal and human models indicating that the tendency to delay gratification is independent of other impulsive tendencies (Reynolds et al. 2008; Whiteside and Lynam 2001). However, it extends these findings by showing that the ability to delay gratification can reduce real-world risk taking even when impulsive drives, such as sensation seeking, are at high levels.
Explanations of Adolescent Risk Taking
Our results are consistent with one explanation for the rise in risk taking characteristic of adolescence, namely the surge in dopamine activity in subcortical reward centers (Chambers et al. 2003; Spear 2000). Indeed our results replicate findings from an earlier study showing that the peak in sensation seeking during adolescence can explain a good deal of the variation in drug use in this age range (Romer and Hennessy 2007). We again find evidence of this inverted-U relation between age and sensation seeking (Fig. 2). Furthermore, the peak in sensation seeking is related to a similar peak in drug use among youth with the highest levels of sensation seeking (Table 3). Thus, we have strong evidence that the rise in drug use in adolescence is related to a rise in sensation seeking and that subsequent desistance from drug use is related to the decline in sensation seeking that occurs later in adolescence.
The present results also suggest that it is not necessary to posit a deficit in frontal brain maturation in order to explain the rise in adolescent risk taking. Although it is common to argue that maturation in higher-order prefrontal function lags the development of subcortical reward centers innervated by dopamine (e.g., Casey et al. 2008; Steinberg 2008), the peak in such drives as sensation seeking may be sufficient to explain the rise. Furthermore, the subsequent decline in risk taking that occurs in the third decade of life may be more related to a decline in sensation seeking as well as the transition to adult roles (Moffitt 1993), neither of which may require greater frontal brain control.
It is also likely that experience gained during the adolescent period may help adults to recognize the hazards of some forms of risk taking or to provide skills to constrain such activity. Indeed, the finding that those higher in sensation seeking exhibit the greatest increases in delay of gratification suggests that experience with risk taking is itself a promoter of self-control. The finding is also consistent with research indicating that adolescent criminal offenders experience disproportionate increases in self-control as they age (Turner and Piquero 2002; Winfree et al. 2006). Moreover, this conclusion is consistent with the model proposed by Chambers et al. (2003) who suggested that experience gained from engaging in novel and risky behavior may facilitate the development “of more appropriate decision making” (p. 1048). Although maturation of executive function and other prefrontal capabilities may be critical to the development of control over adolescent risk-taking propensities, our results suggest that at least some of this control develops as a consequence of experience.
Implications for Prevention
The challenge our findings pose is how to protect high sensation-seeking youth from negative outcomes while at the same time promoting life experiences that facilitate the development of patience. Graduated driver license programs, for example, provide adolescents with increasing experience but control this progression and provide sanctions for accidents and traffic violations. Graduated driver license programs have been shown to reduce dramatically the crash risk of teenage drivers (Morrissey et al. 2006). Hence, programs that provide experience with risky activities under supervised conditions may be one way to satisfy both high sensation-seeking needs as well as protecting youth from their own risky behavior. Preventing the use of drugs of dependence, perhaps by encouraging engagement with other activities that also stimulate the dopamine system, such as sports and physical activity (Romer and Hennessy 2007), could also be a way to safely channel sensation seeking.
Future translational research should also be directed toward identifying learning activities that can help high sensation seeking youth to increase control over their impulses before they experience adverse consequences. The finding that youth with greater working memory capacity can more readily delay gratification (Hinton et al. 2003; Shamosh et al. 2008) suggests that interventions designed to increase executive functioning may be a promising strategy (see Klingberg et al. 2005; Rueda et al. 2005). In addition, programs that increase self-regulation have been tested with younger children and demonstrate success in reducing externalizing behavior (Riggs et al. 2006). Furthermore, life skills training programs with preadolescents have also shown some success in reducing drug use and other externalizing behavior (Botvin et al. 2006). It is possible that these programs influence the ability to consider future consequences of behavior. If so, they should be able to provide protection against a range of risky behaviors, such as we find here with drug use. Such programs may also help youth who grow up in poverty to persist toward long-term academic goals. Our finding that youth living in higher income areas exhibit greater delay of gratification is consistent with the findings of Evans and Rosenbaum (2008) who found that poorer youth were less able to delay gratification and that this characteristic mediated academic achievement as they aged.
It has been well-established that sensation seeking puts youth at risk for a range of poor outcomes, including juvenile delinquency, teenage pregnancy, and automobile accidents (Zuckerman 1994). Less attention has been devoted to the possibility that sensation seeking plays an important role in adaptive functioning. Indeed, if sensation seeking were so maladaptive that it always reduced the life chances of individuals, it would have long been selected against in the population. As Spear (2007) has noted, the rise in sensation seeking that we see during adolescence suggests that this characteristic confers an advantage that has been conserved across species. Indeed, adult sensation seekers tend to be somewhat higher in IQ (Zuckerman 1994), and a study by Raine et al. (2002) indicates that young children higher in exploratory tendencies exhibit greater gains in cognitive ability than their less adventuresome peers. Similarly, our data suggest that strong sensation seeking tendencies lead adolescents into novel situations that may potentially hinder their adjustment but nevertheless teach them the importance of considering future benefits and consequences.
Limitations
Despite our finding that high sensation seeking youth eventually gain experience to exert some control over their impulses, there is also the possibility that they will develop dependence on addictive behaviors such as drug use. Studies suggest about 8% meet such criteria (SAMHSA 2008). Drug dependence places users at risk of impaired control over their habit by potentially increasing their discounting of future rewards (Jentsch and Taylor 1999). We could not identify such cases in our data, but they may well have been present. Hence, not all experience with risky behaviors will result in greater control over risk taking, a concern that motivates interventions to reduce risky behavior in youth.
Although our structural model tested causal directions between variables, we recognize that the cross-sectional design of the current investigation circumscribes our ability to draw causal inferences. For example, it is impossible to rule out the possibility that observed age trends represent cohort effects rather than normative developmental trajectories. Against this particular explanation is the relatively small age range of our participants, making it unlikely that dramatic cultural changes in the United States have produced the trajectories we observed. Still, a prospective, longitudinal study would allow us to more confidently assess the effects of sensation seeking on delay of gratification and, in turn, its effects on risk taking.
Finally, although we have evidence that high sensation seekers exhibit increased patience for delayed rewards, we do not have direct evidence that the consequences of drug use and other risky behavior mediates this change. Future research should test this hypothesis directly. It would also be interesting to determine the kinds of experiences that mediate the increase in patience. It is also possible that sensation seeking is a marker for some third variable that predisposes youth to gain patience as they age. Nevertheless, the findings do provide striking evidence that adolescent risk taking spurred by sensation seeking is associated with age-related increase in patience.